想了解設備資料?報價?售後?請留言,速回電
廠家直銷,留言立享本月優惠價免費提供環保政策、辦廠手續、投資預算等資料
vozyisxozu
輥式破碎機可分為對輥式破碎機、四輥式破碎機和齒輥式破碎機,它是用在水泥、化工、電力、冶金、耐火材料等工業部門中等硬度的物料,如石灰石、爐渣、焦炭、煤等物料的中碎及細碎作業。
(1).jpg)
當輥式破碎機在輥壓塑性粘土時,其輥壓力是個重要的工作參數。下文介紹輥壓力的計算方法。
![]()
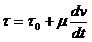
由于黏土塑性變形時的流動類似黏性液體的流動,所以,對輥間塑性黏土的變形可運用流體流動的理論。塑性黏土的變形情況可用流體方程式描述:,式中τ是剪應力(N/m2),τ0是極限剪應力(N/m2),u是動力黏度(SN/m2),dv/dt是速度梯度(s-1)。速度梯度表明,輥間物料速度從上層到下層變化較快。最後,用物料黏度u、速度梯度dv/dt的坐标曲線确定黏度時,速度梯度值必須已知。
在計算輥間單位壓力時,需了解影響輥間單位壓力的因素有很多,如材料物理機械性質、破碎比、輥子直徑、間隙大小等。經計算輥間單位壓力P(N/m2)為:
![]()
f是輥子圓周速度比,R是輥子半徑,V1是輥子的圓周速度。
總壓力的計算:一般情況下,可根據輥間單位壓力的總和确定總壓力的大小:
,
Δ是彈簧變形量。
上一篇:單輥破碎機的結構及工作原理詳解
想了解設備資料?報價?售後?請留言,速回電
廠家直銷,留言立享本月優惠價免費提供環保政策、辦廠手續、投資預算等資料
3分鐘前 高先生:時産200噸制砂機報個價,處理鵝卵石
8分鐘前 李先生:移動式破碎機怎麼解決粉塵問題?
13分鐘前 徐女士:需要制砂機,南甯能看制砂現場嗎?
16分鐘前 程先生:破碎生産線出個方案及報價,有什麼售後服務?
22分鐘前 鄭女士:想了解時産500噸錘破,加工石灰石
31分鐘前 吳先生:成套石頭破碎設備有嗎?給個詳細産品資料
36分鐘前 羅先生:每小時100噸左右的鄂破和反擊破,推薦下型号
42分鐘前 梁先生:膨潤土磨到200目,用什麼磨粉設備?
提交留言我們會第一時間回複您!
旋回破碎機是破碎生産線和制砂生産線的重要機械設備。其各結構參數的選擇與計算是否合理,對破碎機的破碎效率有很大的影響,因此本文主要介紹破碎機各結構參數的選擇計算方法。
2013-06-10單輥破碎機是輥式破碎機的一種,又被稱為颚輥破碎機,其适合用于破碎中硬或松軟的物料,如石灰石、硬質黏土及煤塊等。本文主要介紹其結構及工作原理。
2013-06-04振動輸送機具有結構簡單、安裝、維修方便、能耗低、無粉塵溢散、噪音低等優點。其動力學參數的計算主要包括主振彈簧彈片的确定、電機動率的計算兩方面,下文将介紹着兩個參數的計算方法。
2013-05-13複擺細碎颚式破碎機是一種新型節能的破碎設備。影響其工作效率有多種因素,其中偏心軸的轉速就是比較重要的一個影響因素。目前細碎颚式破碎機的偏心軸轉速普遍偏低,為了提高偏心軸轉速,強化細碎作用,并保證粒度軍均勻,就需要知道偏心軸轉速的計算方法。
2013-01-16錘式破碎機具有破碎比大、節能、安全等特點,因此在水泥、化工、礦山、選煤及建材等部門。結構參數是否合适對破碎機的性能特點影響很大,下面介紹其主要結構參數的設計計算方法。
2012-12-15固體物料的原料或産品都是由大小不同的塊料或顆粒組成,其形狀多為不規則的,粒度也不可能均勻一緻。為了便于研究破碎過程,選擇合适的粉碎設備及控制研磨體的級配,就需要計算物料的平均粒徑。
2012-12-06