想了解設備資料?報價?售後?請留言,速回電
廠家直銷,留言立享本月優惠價免費提供環保政策、辦廠手續、投資預算等資料
chqtegebsh
紅星新型篩分式雙齒輥破碎機以功耗低、處理能力大、結構緊湊、振動小、排料粒度均勻、經久耐用等優點在礦山、電力等行業廣泛應用。它通過高扭矩、低轉速的傳動系統,驅動左右破碎輥相對或相反旋轉來破碎物料。
兩破碎輥上螺旋排列的破碎齒直接參與物料破碎,其結構設計及質量的好壞,與整套設備的生産能力和使用壽命密切相關。本文選用紅星篩分式雙齒輥破碎機,以輥齒正常破碎物料和被非破碎異物卡死2種工況為分析對象,對破碎齒進行了受力計算并對其強度進行了有限元分析,證明該破碎齒可用來破碎石灰石等堅硬物料。
(3).jpg)
篩分式雙齒輥破碎機結構如圖所示。

兩齒輥上的齒依次循環交錯通過破碎腔,大塊物料由相對的破碎齒尖咬合住,在一根破碎輥上的齒尖和另一根破碎輥上的齒背的三點支撐作用下,對物料施加拉伸載荷而實現物料的破碎。另外由于該破碎機具有強制排料功能,有可能會遇到鐵塊等非破碎異物,導緻齒輥堵轉。在這種極端情況下,輥齒幾乎全部吸收破碎輥的動能,并承受其帶來的巨大沖擊力。由此可見破碎齒有以下2種受力工況:正常破碎工況和齒輥卡死工況。
正常破碎工況下輥齒受力計算
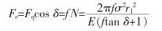
為了便于計算輥齒受力,把物料簡化為半徑為r1的圓球形,輥齒在齒尖A處對物料施加大小為Fq的破碎力。
假設物料在進入破碎腔後無滾動,則:
![]()
式中f---物料與側壁的摩擦系數;
E---物料的彈性模量;
σ---物料破碎擠壓強度。
由式(1)可求得Fq=51.46kN。
齒輥卡死工況下輥齒受力計算
當兩齒輥間落入大于出料粒度的鐵塊等非破碎異物時,雙齒輥将被突然抱死。由于沖擊時間極短,齒尖處将承受巨大的集中力。
![]()
式中k---過載系數,一般取k=5.0~8.2,根據破碎實際條件,取k=6;
Mn---齒輥額定轉矩;
P---電機額定功率;
n---齒輥轉速。
為了驗證所設計的齒闆的破碎強度是否符合實際要求,應用有限元分析軟件對其進行強度分析。得到了齒闆在2種工況下的應力分布、應變分布和位移分布。表2列出了2種工況下輥齒的等效應力、等效應變和位移。
應力均分布在齒尖圓弧處,另外齒的根部圓弧過渡處的等效應力值也明顯超出鄰近區域的應力值,說明齒尖在2種工況下,不僅受壓力作用,還有彎矩作用。
卡死工況下,齒尖和齒根部區域應力大,應力值為2324MPa,遠超過材料的屈服極限,其餘部位的應力值在387MPa以下,低于材料的屈服極限。
正常破碎工況下輥齒所受應力值為288.7MPa,其等效應變和位移都較小,均在輥齒材料的允許範圍之内。
(1).jpg)
(1)該破碎機輥齒在卡死工況下,齒尖部位将承受巨大的沖擊力。因此在設計破碎機時,需要考慮采用除鐵設備,并需配備專門的液力偶合器和電氣設備等,來保護輥齒不損壞;
(2)在正常破碎工況下,輥齒所承受的應力值小于材料的屈服極限,而石灰石等礦石的抗壓強度一般<150MPa,故而該輥齒可用于破碎石灰石等堅硬物料;
(3)在實際生産中,齒尖磨損是齒闆的主要失效形式。該破碎機左右破碎輥上的齒闆完全一緻,在齒闆部分磨損後,可任意調換使用,不僅提高了其使用壽命,而且安裝更換方便靈活。
想了解設備資料?報價?售後?請留言,速回電
廠家直銷,留言立享本月優惠價免費提供環保政策、辦廠手續、投資預算等資料
3分鐘前 高先生:時産200噸制砂機報個價,處理鵝卵石
8分鐘前 李先生:移動式破碎機怎麼解決粉塵問題?
13分鐘前 徐女士:需要制砂機,南甯能看制砂現場嗎?
16分鐘前 程先生:破碎生産線出個方案及報價,有什麼售後服務?
22分鐘前 鄭女士:想了解時産500噸錘破,加工石灰石
31分鐘前 吳先生:成套石頭破碎設備有嗎?給個詳細産品資料
36分鐘前 羅先生:每小時100噸左右的鄂破和反擊破,推薦下型号
42分鐘前 梁先生:膨潤土磨到200目,用什麼磨粉設備?
提交留言我們會第一時間回複您!
傳統的颚式破碎機結構設計簡單,操作維護也較為方便,但是在生産中容易産生很多問題,設備的易損件壽命較低,使用成本比較高。為此,我們研究了新型的雙腔颚式破碎機,該機是在原有設備結構上改變結構設計研發而成的。
2014-11-17篩分破碎機是一種新型破碎機,該破碎機運行可靠,出料粒度穩定,為選廠的正常生産提供有力的保證。本文将詳細介紹篩分破碎機的工作原理和特點。
2014-01-22采用磨内篩分技術進行磨内改造的實質是:強化了物料在磨内的分級功能。可以使各種不同粒徑的物料在粉磨機理的條件下完成粉磨作業,從而提高粉磨效率、降低能耗。磨内改造的具體方法如下:
2013-05-06提高塊礦率,降低粉礦率是保證礦山正常生産和提高礦山經濟效益的重要途徑,MMD破碎篩分機則能很好地解決這個難題。以下是MMD破碎篩分機的主要特點和與其他破碎設備的區别
2013-03-15MMD破碎機是國外生産的一種新型破碎設備,在市場中占據不小的份額。齒帽是MMD破碎機上的一個關鍵易損部件,其質量的好壞對破碎機的生産效率及使用壽命有很大的影響。本文就來針對齒帽的磨損失效進行分析。
2013-03-14我國引進破碎機技術比較早,但是許多廠家對破碎機的設計理念不夠先進,獨立研發的能力不強,制造工藝水平也有所欠缺。企業在研發新型破碎機時應該注意下面幾個問題:磨損率、産品粒度分布和故障分析與控制的問題
2012-12-22