想了解設備資料?報價?售後?請留言,速回電
廠家直銷,留言立享本月優惠價免費提供環保政策、辦廠手續、投資預算等資料
vwjsjvgagr
斜環磁選機作為斜環高梯度磁選設備,處理的物料顆粒粒度較細,故影響其分選過程的力有磁力、流體推動力、重力、顆粒之間的相互作用(靜電力和範德華力)等。為了簡便起見,下面以球形赤鐵礦礦粒為例,分析和估算各種作用力的大小。
.jpg)
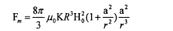
1.磁力
在斜環磁選機中,聚磁介質為圓柱形導磁不鏽鋼材料的棒介質,背景磁場和磁介質的飽和磁感應強度分别為H0和H5。該磁選機的設計初衷,就是讓磁介質産生更強的磁場梯度,故磁介質的飽和磁感應強度大于背景磁場(即:H0>H5),則根據公式,假設一個位于磁介質附近且半徑為R的球形礦粒所受的磁力為:
![]()
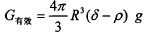
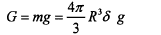
2.重力
球形礦粒所受重力可用下式求得(未計算浮力):
![]()
球形礦粒在礦漿中所受的有效重力為(計算浮力):
![]()
3.流體推動力
水在傾斜置放的槽體中,沿槽底斜面流動時,由于沒有封閉的表面,故與水在明渠中流動相同,是靠自身重力發揮作用,屬無壓水流。水沿斜面流動,如果槽體的斷面、坡度、槽底粗糙度等前後一緻,則在流量一定的條件下,流速将保持不變,稱為等速流;若沿槽體長度,其橫斷面、坡度、粗糙度等有所改變,相應位置的流速也就不同,該斜面流稱為非等速流。根據斜面流的流速與時間的關系,可将斜面流分為穩定流和非穩定流。穩定流的流速與時間變化無關,非穩定流的流速是随時間的變化而改變。
在槽底斜面上,水流的運動狀态可分為層流和紊流兩種。層流運動時,斜面任一點水流瞬時速度的大小及方向,都是相同的;紊流運動時,其瞬時速度在整個時間内是變化的,并在某一平均瞬時水速上下波動。此外,在層流流态和穩流流态之間,有一過渡狀态,該狀态的特點是:水流運動狀況很不穩定,在這不穩定區内,層流與紊流流态頻繁交替地變化。介質的流态,可用雷諾數判斷。
4.摩擦力
當斜環磁選機的傾斜角度為e時,在分選區礦粒與磁介質接觸後,它們之間的摩擦力為:
![]()
5.離心力
在斜環磁選機的分選過程中,假設礦漿中的礦粒附在轉筒内壁,随着轉筒的旋轉做勻速圓周運動,則會受到離心力的作用。根據牛頓第二運動定律,在轉筒内壁且半徑為R的球形礦粒所受的離心力為:
![]()
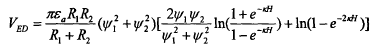
6.靜電力
(1)同類礦粒之間的靜電力
半徑分别為為R;和凡的球形同類礦粒。根據DLVO理論,他們之間的雙電層自由能力:
![]()
(2)異類礦粒之間的靜電力
兩個半徑分别為R。根據DLvo理論,他們之間的雙電層自由能為:
![]()
上一篇:石料生産線中如何選擇破碎設備
下一篇:HX制砂機更換轉子體操作步驟
想了解設備資料?報價?售後?請留言,速回電
廠家直銷,留言立享本月優惠價免費提供環保政策、辦廠手續、投資預算等資料
3分鐘前 高先生:時産200噸制砂機報個價,處理鵝卵石
8分鐘前 李先生:移動式破碎機怎麼解決粉塵問題?
13分鐘前 徐女士:需要制砂機,南甯能看制砂現場嗎?
16分鐘前 程先生:破碎生産線出個方案及報價,有什麼售後服務?
22分鐘前 鄭女士:想了解時産500噸錘破,加工石灰石
31分鐘前 吳先生:成套石頭破碎設備有嗎?給個詳細産品資料
36分鐘前 羅先生:每小時100噸左右的鄂破和反擊破,推薦下型号
42分鐘前 梁先生:膨潤土磨到200目,用什麼磨粉設備?
提交留言我們會第一時間回複您!
磁選設備又稱磁選機,它屬于選礦設備,它的功能和作用就是對各種含鐵類金屬進行磁選任務,該設備按照其大小可分為大型磁選機、中型磁選機、小型磁選機和微型磁選機,每一種設備都有各自的優勢,但是綜合對比來看,小型磁選機更加節能、環保,而且耗能也是相當的低,本文從其優勢、生産廠家以及出售價格來對該設備進行全面的分析與探讨。
2017-05-16某鐵選廠目前采用的選别工藝為磁選工藝,選礦過程中的主要設備為磁選機。投産期間,該廠一直對選礦結果不甚滿意,為改變現狀,該廠對磁選工藝進行了深入的研究,認真觀察,發現問題并積極改造,效果相當的顯著。
2015-12-05浮選常遇到的礦物既非完全親水,也非疏水,往往是中間狀态,即圖中曲線的情況。礦粒向氣泡附着的過程,詳細可分為a、b、c和d四個階段,如下圖所示。
2013-10-09球磨機的磨礦過程是否正常,對磨機的工作效率效率影響很大。為了找出影響磨機生産效率的因素,并采取有效措施提高磨機的工作效率,對球磨機磨礦過程的理論進行分析是非常有必要的。
2013-04-07在破碎機破碎物料的過程中,伴随着損傷的演化,微裂紋從無序分布逐漸向有序發展,形成宏觀大裂紋而導緻物料的失穩破碎。損傷能量釋放率反映了這個過程的能量耗散程度。本文基于應變等效假設原理和彈性力學理論,對物料在破碎過程中的損傷能量釋放率進行分析。
2012-12-30石膏烘幹機的三個分區的控制方式相同,調整過程也相同,因此我們在此隻給大家講述一區的調整控制方式。但是原有的PID控制不能滿足石膏烘幹機溫度控制全自動化的實現。
2012-11-05